FREP: Femtosecond Relativistic Electron Probe
The Challenge: Seeing a Wave That Moves at Light Speed
The future of high-energy physics may depend on a technology that can shrink city-sized particle accelerators to the dimensions of a laboratory. These next-generation machines, known as plasma accelerators, work by firing an intense particle beam or an ultrashort, intense laser pulse through a plasma to create a “wake”—a microscopic wave of electrons that can accelerate particles with an unprecedented gradient.
This incredible promise, however, was hindered by a fundamental problem: the very structures scientists needed to create, manipulate, and utilize were nearly impossible to see. The wake structure is smaller than a human hair, yet it travels at nearly the speed of light and oscillates on timescales of femtoseconds (a millionth of a billionth of a second). Progress in the field was limited by this diagnostic gap. Without a way to directly visualize the wake in real time, researchers were navigating with an incomplete map.
The Solution: An Ultrafast Electron Probe
To solve this problem, we conceived and developed an innovative diagnostic technique: the Femtosecond Relativistic Electron Probe (FREP). The concept is to use the unique properties of high-energy electrons from a laser-plasma accelerator to measure another wake.
Fig. 1: Conceptualization of the FREP diagnostic. A drive beam creates the plasma wake, and a perpendicular probe beam maps its structure.
The concept of FREP is illustrated in Fig. 1. In this example, two synchronized laser pulses are used: one to drive the wake to be measured, and the other to power a second laser wakefield accelerator that provides the FREP. This probe, consisting of high-energy electrons, is sent through the wake at a perpendicular angle. As the probe electrons slice through the wake’s structure, their paths are deflected by its intense electric and magnetic fields. This interaction imprints a detailed map of the wake’s potential directly onto the probe bunch itself. After the probe exits, it drifts to a detector screen, where this pattern reveals a direct, 2D snapshot of the wakefield at a single instant.
First Light: A Landmark Discovery
We performed the first experimental demonstration of the FREP technique at the High-Field Physics and Ultrafast Technology Laboratory of the National Central University in Taiwan. The results provided an immediate, unambiguous view of the wakefield’s structure, as shown in Fig. 2. By adjusting the time delay between the two laser pulses, we could capture a series of these snapshots to create a time-resolved “movie” of the wake’s evolution.
Fig. 2: A snapshot capturing the plasma wakefield with femtosecond resolution.
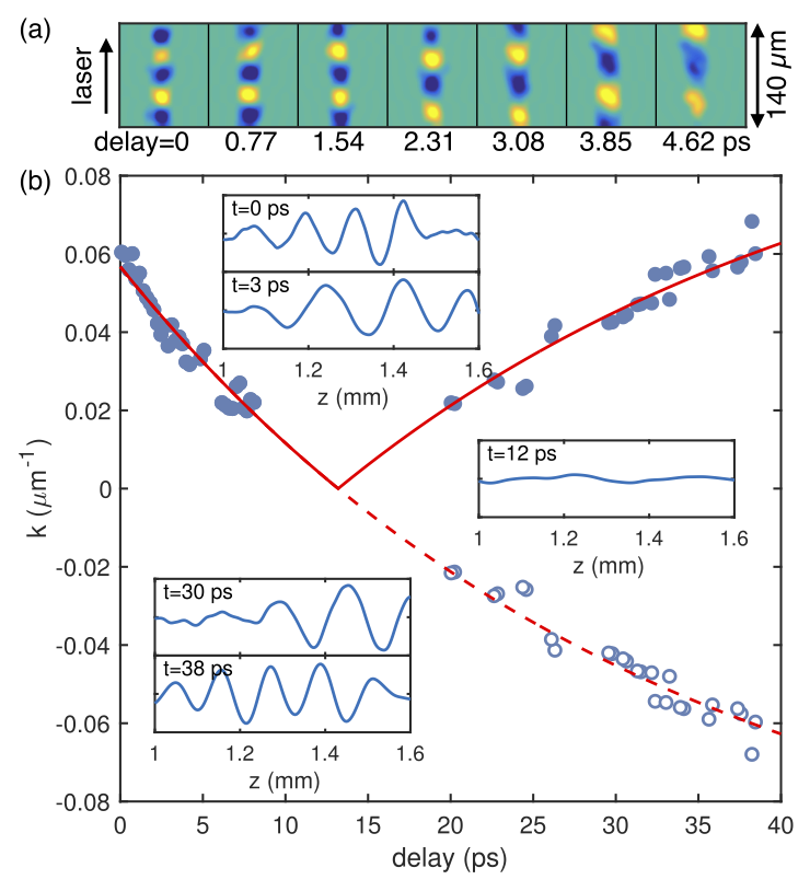
The “movie” we created with these first snapshots revealed an interesting phenomenon for the first time: plasma wake reversal in a density upramp (Fig. 3).
Fig. 3: Direct observation of plasma wake reversal, a discovery enabled by the FREP technique.
We observed that the wake excited in a density upramp evolves in such a way that its wavelength continuously increases to infinity as the wake reverses its phase velocity, before continuously shrinking until the wake dissipates. This occurs due to the phase mixing of oscillations with different frequencies caused by the plasma density variation. A particularly interesting aspect is that during wake reversal, the phase velocity of the wake can become superluminal, meaning the wake itself can radiate. Subsequently, several groups have proposed and demonstrated the generation of narrow-band THz radiation based on this phenomenon.
Impact: A New Diagnostic for Next-Generation Accelerators
The invention and demonstration of FREP provides the plasma accelerator community with a game-changing tool. It removes a major roadblock in the field by enabling direct visualization of the microscopic, transient, and relativistic fields central to the acceleration process, and therefore expedites the journey toward a future of powerful, compact particle accelerators for science and industry.
Related Publications
- C. Zhang, et al. “Capturing relativistic wakefield structures in plasmas using ultrashort high-energy electrons as a probe.” Scientific Reports 6, 29485 (2016). https://doi.org/10.1038/srep29485
- C. Zhang, et al. “Femtosecond Probing of Plasma Wakefields and Observation of the Plasma Wake Reversal…” Physical Review Letters 119, 064801 (2017). https://doi.org/10.1103/PhysRevLett.119.064801
